Die EINMALIGE Chance!!

Seite 1 von 3
neuester Beitrag:  22.06.17 12:09
eröffnet am: 20.05.09 11:44 von: Le saceur Anzahl Beiträge: 66
neuester Beitrag: 22.06.17 12:09 von: union Leser gesamt: 41448
davon Heute: 7
bewertet mit 3 Sternen

Seite:  Zurück   1  |  2  |  3    von   3     
20.05.09 11:44 #1 Die EINMALIGE Chance!!
Washington Mutual!!

Heute ist der Start der Verhandlung gegen JP Morgan. 17:30 MEZ. Bei positivem Ausgang sind hier astronomischen Gewinne möglich. Schaut euch den Chart an. Wird der Klage heute stattgegeben, kommt es zum Prozess. Das dürfte sich auch im Kurs wiederspiegeln :-))
Aber auch wenn JPM einen Vergleich anbietet, gibt es beste Chancen auf mehrere 100% Gewinne.

Meine Meinung  
Seite:  Zurück   1  |  2  |  3    von   3     
40 Postings ausgeblendet.
30.10.09 00:42 #42 Ergänzung

...zu obigem Post.

Taucht zu dem in der Texasklage schon angesprochenen Rufmord seitens JPM jetzt auch noch der Vorwurf des Rufmordes seitens der FDIC auf:

 

"......Journal found that Washington Mutual, which is based in Seattle, experienced not one, but two, bank runs in its final months and that officials thought that the Federal Deposit Insurance Corporation might have prematurely sent signals to banks interested in acquiring WaMu that it was going to be taken over, driving bidders away and potentially costing shareholders billions ......."

http://dealbook.blogs.nytimes.com/2009/10/29/...of-washington-mutual/

Sollte sich der Verdacht erhärten, hätte die FDIC einen Grund mehr pecuniären Tribut zu leisten.

 

Noch eine nette Nachricht zum heutigen Tage.

Auch wenn sich gestern einige über das arg kurze Hearing zu den Claims beschwerten und argwöhnten, dass dabei nichts Braucghbares 'raus kommen könnte.

Es hat immerhin dazu geführt dass die Richterin verfügt hat, dass unter Anderen ein Anspruch der Steuerbehörde über ca. 10,3 Mrd.$ zurückgewiesen wird.

http://www.kccllc.net/documents/0812229/0812229091029000000000005.pdf

(Siehe Seite 2 u. Exhibit A )

 
01.11.09 18:55 #43 @Punktt, #42: Mir stockte der ODEM,
mir brach schier der BLICK, mir rieselte glatt der KITT aus der Brille, als ich Deiner Wirbel-stürmischen Nachricht #42 ansichtig ward:

"Auch wenn sich gestern einige über das arg kurze Hearing zu den Claims beschwerten und argwöhnten, dass dabei nichts Brauchbares 'raus kommen könnte.
Es hat immerhin dazu geführt, dass die Richterin verfügt hat, dass unter Anderen ein Anspruch der Steuerbehörde über ca. 10,3 Mrd. $ zurückgewiesen wird"...

An der als www.kccllc.net/documents/0812229/0812229091029000000000005.pdf von Dir hierzu angebenen QUELLE jedoch finde ich DIESES:

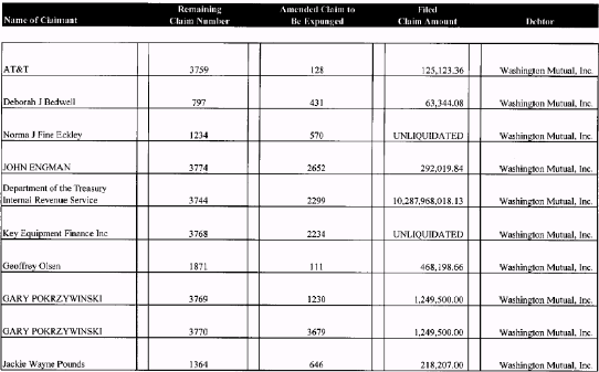
ERSTENS: Die "Steuerbehörde" hatte am 31.3.2009 per Claim #2299 einen Anspruch in Höhe von 55.028.000,-- U$-Dollar gegen den Debtor (=gegen den behaupteten Schuldner) Washington MUTUAL, Inc. angemeldet. - Dieser "Amended Claim [has] To Be Expunged".

ZWEITENS: Die "Steuerbehörde" hat sodann am 20.7.2009 per Claim(s) #3744 (a) als "Secured" 55.027.997,-- U$-Dollar, (b) als "Priority" 9.748.845.621,51 U$-Dollar und (c) als "General Unsecured" 32.062.051,-- U$-Dollar behauptet, was einer Gesamt-Summe von 9.835.935.669,51 U$-Dollar entspricht.

DRITTENS: Aus der Tat-Sache, dass für die "Steuerbehörde" in dem von Dir angeführten Document eine "Filed Claim Amount" in Höhe von 10.287.968.018,13 U$-Dollar angeben wird, die nach "Expunge" der #2299 als "Remaining Claim Number" aus dem Amendment entkoppelte #3744 aber nur 9.835.935.669,51 U$-Dollar ausmacht, schließe ich, dass die "Steuerbehörde" noch andere, ebenfalls NICHT als "Expunged" markierte Claims laufen hat, aus denen sich die Differenz von 452.032.348,62 U$-Dollar zufrieden-stellend erklärt.

Natürlich bin ich für diese Actie genau so POSITIV gestimmt wie Du. - Sonst hätte ich sie nicht gekauft (und läge auch nicht mehr auf der Lauer für den optimalen NACH-Kauf). - Ich bitte Dich aber, Beiträge zu vermuteten Claim(s)-Löschungen in den HAUPT-Thread einzubringen. - Dort gibt es einige Freunde, die sich mit der Materie sehr gut auskennen, so dass etwaige Irrtümer schneller corrigiert werden können.

LG: Teras.
-----------
http://www.ariva.de/ARIVA_Users_pro_activ_fuer_Entstoerung_g506
LEHMAN Brothers (WKN: 891041; ISIN: US5249081002)
und Washington MUTUAL (WKN: 893906):
Klein-Anleger schreiben GESCHICHTE...

Angehängte Grafik:
2009-10-31-just-55-millions-are-not-10-billions.gif (verkleinert auf 94%) vergrößern
2009-10-31-just-55-millions-are-not-10-billions.gif
01.11.09 19:30 #44 @ teras

endlich noch mal einer der sich um differenzierte Auseinandersetzung mit der Materie bemüht.

Den Wirbelsturm sehe ich in meiner Nachricht allerdings nicht, schließlich habe ich" ein" und nicht  "der" geschrieben.

Schließlich ist die Gesamtforderung aus den Claims nicht gleich den tatsächlich bestehen bleibenden.

Aber ich gebe dir recht, dass es in diesem Zusammenhang bessser gewesen wäre zusätzlich zwischen "denied" ( diese eine Claim-Formulierung ca.10,3 Mrd)  und "expunged" (also den definitv als Forderung weggefallenen ca.0,5 Mrd.) hinzuweisen.

Ich finde es gut, dass du meine Info so korrekt korrigiert hast, so wird der daraus mögliche Irrtum deutlicher.

Dies in den Hauptthreat einzustellen halte ich nicht für richtig, da diese wichtige Differenzierung sofort "versenkt" worden wäre.

Wer sich mit der Materie ernsthaft auseinandersetzen will der schaut auch hier vorbei - wie du!

 

 

 
01.11.09 20:01 #45 post hin, post her,
erklärungen hier und da. doch wo wird der kurs hinlaufen, hmmm....  
01.11.09 22:10 #46 tberg &punktt
meine hochachtung an die sehr guten recherchen von euch beiden und die professionelle diskussion. das ist level wo es spaß macht zu lesen. danke.  
01.11.09 22:58 #47 Thumbs up!
schliesse mich dem vorherigen post an! echt klasse...  
18.11.09 13:20 #48 Wer gräbt

findet immer wieder kleine Indizien.

Der Terminkalender von Frau Bair aus 08 ( nach FOIA)

http://wamuqd.com/BairCal08.PDF

Das ganze jahr findet sich nur ein einziges Mal ein Eintrag zu Geschäftsberichten von Banken

und zwar am 22.07.08 (Seite 48)

"Updated Earnings Announcement E-Trade BAnk,Washington Mutual, Wachovia"

M.W. wurden die beiden Erstgenannten nicht in die Shortsellingverbotsliste aufgenommen.

Wer weis bei Wachivia diesbezüglich bescheid?

Wie ich in einem Amiboard gelesen habe soll JPM nich nur Washington Mutual, sondern auch die E-Trade Bank auf ihrer Wunschliste gehabt haben.

Nun - Beweise sind das alles bei Weitem nicht, aber zusätzlich stark stinken nach "Collusion" und "Collaboration" tut das allemeal.

 
30.11.09 13:55 #49 heute muß dieses Kaufsignal bestätigt werden
http://www.americanbulls.com/...=WAMUQ&MarketTicker=OTC&Typ=S

eine kurze weisse Kerze reicht aus...noch besser mt SK auf TH ;-))
-----------
Alle Rechtschreibfehler wurden absichtlich eingebaut und dienen zur Belustigung der Leser.
Gruß 10MioEuro
30.11.09 19:51 #50 es sieht leider nicht so aus...
geht wohl weiter runter auf die 0,10US$
-----------
Alle Rechtschreibfehler wurden absichtlich eingebaut und dienen zur Belustigung der Leser.
Gruß 10MioEuro
01.12.09 13:43 #51 Heute gibt e wieder Hoffnung auf steigende Ku.
http://www.americanbulls.com/...=WAMUQ&MarketTicker=OTC&Typ=S

das unbestätigte Kaufsignal, steht noch an...wir brauchen eine weisse Kerze mit SK im + um es zu betätigen.

das wird ein hartes Stück Arbeit...lol
-----------
Alle Rechtschreibfehler wurden absichtlich eingebaut und dienen zur Belustigung der Leser.
Gruß 10MioEuro
01.12.09 14:03 #52 das einziges was mir Sorgen bereitet ist
das Volumen...ohne Wiederstand durch die 200er nach unten durch :-(
sollte der Kurs wieder drehen, dann  wird es hoffentlich auch keinen Wiederstand geben.
-----------
Alle Rechtschreibfehler wurden absichtlich eingebaut und dienen zur Belustigung der Leser.
Gruß 10MioEuro
01.12.09 14:05 #53 chart vergessen einzufügen

-----------
Alle Rechtschreibfehler wurden absichtlich eingebaut und dienen zur Belustigung der Leser.
Gruß 10MioEuro
01.12.09 14:15 #54 ....
Schnippel dir den Chart zu recht und mach ne schone Soße drüber... 200 Tages-Linie, 38 Tages Linie... nimm doch auch noch die 150er, die 100er und die 50er dazu. Vielleicht hilft es ja... Charttechnik bei Wamu - ich kann nicht mehr...
 
01.12.09 14:22 #55 spar dir solche Bemerkungen in Zukunft..
es gibt jede Menge Investoren, die auch bei solchen Werten wie WAMUQ auf die Charttechnk setzten...mich eingeschlossen.
-----------
Alle Rechtschreibfehler wurden absichtlich eingebaut und dienen zur Belustigung der Leser.
Gruß 10MioEuro
01.12.09 14:24 #56 Da bleibt nur eins zu sagen...

Viel Glück!

Und das meine ich trotz des ironischem Untertons durchaus ernst. 

 
01.12.09 14:44 #57 Gutentag.

Ich bin mir jetzt sicher dass wir die 4mrd + Steuerrückzahlungen im Wert von ca 3mrd. bekommen siehe beitrag:

 

http://www.emii.com/Articles/2348846/...n-4B-JPMorgan-WaMu-Claim.aspx

 

 
01.12.09 15:02 #58 Ich finde Optimismus immer gut...
aber wie kommst du zu dieser Annahme? In den News wird doch einfach nur die derzeitige Situation geschildert und es werden keine weiteren Erkenntnisse offenbart...   
01.12.09 16:39 #59 @ almarasu
.
Ich sehe nur INfo mit einem Inhalt den wir ohnehin schon Monate lang kennen.
Welche Info enthält der Artikel, dass du dir  j e t z t  sicher bist?  
02.12.09 10:31 #60 Kaufsignal bestätigt:BUY CONFIRMED
http://www.americanbulls.com/...=WAMUQ&MarketTicker=OTC&Typ=S

Kaufen marsch, marsch!!
-----------
Alle Rechtschreibfehler wurden absichtlich eingebaut und dienen zur Belustigung der Leser.
Gruß 10MioEuro
02.12.09 10:59 #61 immer schön so weiter,
23.12.09 17:07 #62 das gibt gleich eine Explosion
23.12.09 17:09 #63 in deiner hose, oder wat?
das gibt heut nix. erst im januar wird es hier richtig bewegung geben.
 
23.12.09 17:10 #64 10mio
"Strong Buy".......vielleicht doch lieber ne brille!!!  
23.12.09 18:00 #65 ridgeback, du ungläubiger,
du musst geduld haben...das gibt noch einen anstieg heute.  
22.06.17 12:09 #66 Heute geht alles per WMIH weiter
Seite:  Zurück   1  |  2  |  3    von   3     
Antwort einfügen - nach oben
Lesezeichen mit Kommentar auf diesen Thread setzen:    


Bitte warten...